신경망
신경망: 퍼셉트론을 다층으로 쌓고 활성화함수를 개선한 것
가장 왼쪽 층을 입력층, 맨 오른쪽 층을 출력층, 중간 층들을 은닉층이라 함
- 은닉충의 뉴런은 사람 눈에 보이지 않음
활성화 함수
- 입력 신호의 총합을 출력 신호로 변환하는 함수를 일반적으로 활성화 함수(activation function)라 함
- 활성화라는 이름이 말해주듯 입력 신호의 총합이 활성화를 일으키는지 정하는 역할

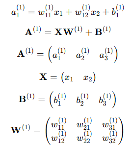
가중치가 달린 입력 신호와 편향의 총합을 계산, 이를 a라 함
a를 함수 h()에 넣어 y를 출력하는 흐름
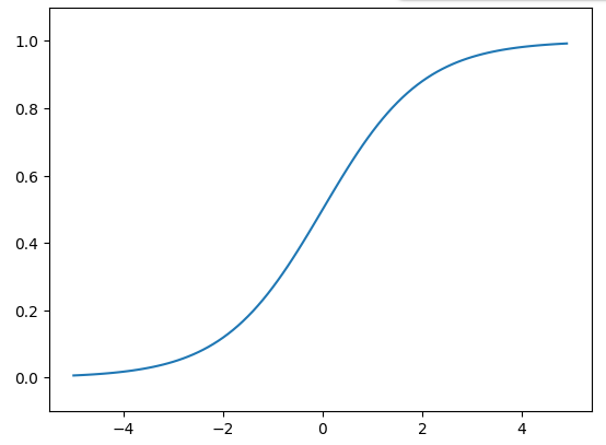
1. 시그모이드 함수

신경망에서는 활성화 함수로 시그모이드 함수를 이용하여 그 변환된 신호를 다음 뉴런에 전달
* 시그모이드: S자 형태라는 의미
-> 앞 장의 퍼셉트론은 계단 함수, 신경망은 시그모이드 등의 다른 비선형 함수 사용
계단 함수 구현하기
def step_function(x):
if x > 0:
return 1
else:
return 0
import numpy as np
def step_function(x):
y = x > 0 #여기까진 불리언이라 인트로 바꿔줘야 함
return y.astype(np.int)

import numpy as np
import matplotlib.pylab as plt
def step_function(x):
return np.array(x > 0, dtype=int)
x = np.arange(-5.0, 5.0, 0.1)
y = step_function(x)
plt.plot(x, y)
plt.ylim(-0.1, 1.1)
plt.show()

def sigmoid(x):
return 1 / (1 + np.exp(-x)) # 브로드캐스트
x = np.arange(-5.0, 5.0, 0.1)
y = sigmoid(x)
plt.plot(x, y)
plt.ylim(-0.1, 1.1)
plt.show()
시그모이드 함수
* 브로드캐스트: 넘파이 배열과 스칼라값의 연산을 넘파이 배열의 원소 각각과 스칼라값의 연산으로 바꿔 수행하는 기능
시그모이드 vs 계단 함수
- 둘 다 입력이 중요하면 큰 값, 입력이 중요하지 않으면 작은 값을 출력함
- 시그모이드 함수는 부드러운 곡선. 입력에 따라 출력이 연속적으로 변화
- 계단 함수는 0을 경계로 출력이 갑자기 바뀜
- 시그모이드 함수의 매끈함 -> 신경망 학습에서 중요한 역할 (역전파 가능)
비선형 함수
- 계단 함수와 시그모이드 함수의 공통점
- 출력이 입력의 상수배만큼 변하는 함수 -> 선형 함수
- 수식: f(x) = ax + b * a, b는 상수
- 선형 함수는 곧은 1개의 직선
- 비선형 함수는 직선 1개로는 그릴 수 없는 함수
신경망에서는 활성화 함수로 비선형 함수를 사용해야 함
선형 함수를 쓰면 신경망의 층을 깊게 하는 의미가 없음
- h(x) = cx이면 h(h(h(x))) 는 c*c*c*x 인데 입력에 그냥 h(c^2x) 한 거랑 무슨 차이
2. ReLU (Rectified Linear Unit) 함수
- 최근엔 신경망에 ReLU를 주로 사용 (역전파 시 기울기 소실 문제 완화)

def relu(x):
return np.maximum(0, x)
x = np.arange(-5.0, 5.0, 0.1)
y = relu(x)
plt.plot(x, y)
plt.ylim(-0.1, 5.1)
plt.show()
입력이 0을 넘으면 그대로 출력, 0 이하이면 0을 출력
* maximum은 두 입력 중 큰 거 고르는 거
다차원 배열의 계산
행렬 곱시 대응하는 차원의 수를 일치시키기
A = np.array([[1, 2, 3], [4, 5, 6]])
A.shape # (2, 3)
B = np.array([[1, 2], [3, 4], [5, 6]])
B.shape # (3, 2)
np.dot(A, B)

신경망에서의 행렬곱
X = np.array([1, 2])
X.shape # (2,)
W = np.array([[1, 3, 5], [2, 4, 6]])
W.shape # (2, 3)
Y = np.dot(X, W)
Y

3층 신경망 구현하기

표기법
가중치와 은닉층 뉴런의 오른 쪽 위에 (1)이 있음
이는 1층의 가중치, 1층의 뉴런임을 뜻함
하단의 왼쪽 번호: 다음 층 뉴런의 인덱스 번호
하단의 오른쪽 번호: 앞 측 뉴런의 인덱스 번호
* 모든 경우에서 이 규칙을 쓰는 거 아님.
1. 입력층 -> 1층

import numpy as np
X = np.array([1.0, 0.5])
W1 = np.array([[0.1, 0.3, 0.5], [0.2, 0.4, 0.6]])
B1 = np.array([0.1, 0.2, 0.3])
print(W1.shape)
print(X.shape)
print(B1.shape)

A1 = np.dot(X, W1) + B1
A1

Z1 = sigmoid(A1)
Z1

1층의 활성화 함수
W2 = np.array([[0.1, 0.4],
[0.2, 0.5],
[0.3, 0.6]])
B2 = np.array([0.1, 0.2])
print(Z1.shape)
print(W2.shape)
print(B2.shape)

A2 = np.dot(Z1, W2) + B2
Z2 = sigmoid(A2)
Z2

1층에서 2층으로 신호 전달
def indentuty_function(x):
return x
W3 = np.array([[0.1, 0.3],
[0.2, 0.4]])
B3 = np.array([0.1, 0.2])
A3 = np.dot(Z2, W3) + B3
Y = indentuty_function(A3)
Y

2층에서 출력층으로 신호 전달
출력층 설계하기
출력층의 활성화 함수는 풀고자 하는 문제의 성질에 맞게 정함
- 회귀: 항등함수
- 클래스 분류: 시그모이드
- 다중 클래스 분류: 소프트맥스
가 일반적임
* 분류: 데이터가 어느 클래스에 속하느냐
* 회귀: 입력 데이터에서 연속적인 수치를 예측하는 문제
소프트맥스 함수 구현

n은 출력층의 뉴런 수, yk는 그 중 k 번째 뉴런임을 뜻함
분자는 입력신호의 지수 함수, 분모는 모든 입력 신호의 지수 함수의 합
식을 제대로 표현하고 있지만, 오버플로우 생김
a = np.array([1010, 1000, 990])
np.exp(a) / np.sum(np.exp(a))


지수 함수 계산 시 어떤 정수를 더하거나 곱해도 결과는 바뀌지 않음
오버플로우를 막기 위해 입력 신호 중 최대값 이용
c = np.max(a)
np.exp(a - c) / np.sum(np.exp(a - c))
소프트 맥스 함수의 특징
- 출력의 총합 -> 1
- 소프트맥스 함수 출력을 확률로 해석 가능
- 확률적인 결론도 낼 수 있다
출력 층의 뉴런 수
- 푸려는 문제에 적절히.
- 분류 문제면 분류하고 싶은 클래스 수