| 일 | 월 | 화 | 수 | 목 | 금 | 토 |
|---|---|---|---|---|---|---|
| 1 | 2 | 3 | ||||
| 4 | 5 | 6 | 7 | 8 | 9 | 10 |
| 11 | 12 | 13 | 14 | 15 | 16 | 17 |
| 18 | 19 | 20 | 21 | 22 | 23 | 24 |
| 25 | 26 | 27 | 28 | 29 | 30 | 31 |
- Aegis
- widget
- unity
- gas
- photon fusion2
- 게임개발
- animation
- 언리얼엔진
- UI
- Replication
- C++
- ability task
- os
- 게임 개발
- 보안
- gameplay tag
- linear regression
- Unreal Engine
- Multiplay
- stride
- attribute
- MAC
- gameplay ability system
- listen server
- local prediction
- CTF
- 유니티
- gameplay effect
- rpc
- 언리얼 엔진
- Today
- Total
Replicated
결정적 유한 오토마타(DFA), 비결정적 유한 오토마타(NFA) 본문
결정적 유한 오토마타 (DFA)
DFA는 다음 두 가지 조건을 만족해야 함
1. ε에 의한 상태 전이가 없고
2. δ(q,a) = {P1, P2, ..., Pn}에서 n = 1 이다
즉, δ : Q x Σ -> Q
하나의 입력 기호에 대해 다음 상태는 오직 하나이거나 상태 전이가 없어야 함
ε에 의한 상태 전이를 ε-전이라고도 함
ex.
0과 1이 짝수 개인 문자열을 받아들이는 유한 오토마타가 DFA인지 알아보고 상태 전이도로 표현
M = ( Q, Σ, δ, q0, F )
Q = {q0, q1, q2, q3}
Σ = {0, 1}
q0 = q0
F = {q0}

상태전이도
| δ | 0 | 1 |
| q0 | q2 | q1 |
| q1 | q3 | q0 |
| q2 | q0 | q3 |
| q3 | q1 | q2 |
상태전이표
그런데 이 방식은 한 문자 한 문자 받아들여서, 전체 문자열이 한 번에 어디로 가는지 알기 힘듦
그래서 확장
Q x Σ -> Q => Q x Σ* -> Q
확장된 전이 함수는 한 개의 기호를 문자열로 확장함
δ(q0, ε) = q0
δ(q0, wa) = δ( δ(q0, w), a )
여기서 w ∈ Σ* 이고, a ∈ Σ
즉, q0 상태에서의 문자열 wa
-> w를 전부 본 상태에서 a를 보는 것
ex.. (필요 DFA는 있다고 가정)
δ*(q0, a12)
= δ(δ*(q0, a1), 2)
= δ(δ(δ(q0, a), 1), 2)
= δ(δ(q1, 1), 2)
= δ(q1, 2)
= q1 ∈ F
와 같이 인식됨
q0 a / q1 1 / q1 2 ...
비결정적 유한 오토마타 (NFA)
1. ε에 의한 상태 전이가 있거나
2. δ(q,a) = {P1, P2, ..., Pn}에서 n >= 2인 n이 하나라도 존재
즉, δ : Q x Σ -> 2^Q
하나의 입력 기호에 대해 다음 상태가 두 개 이상인 것이 하나라도 존재
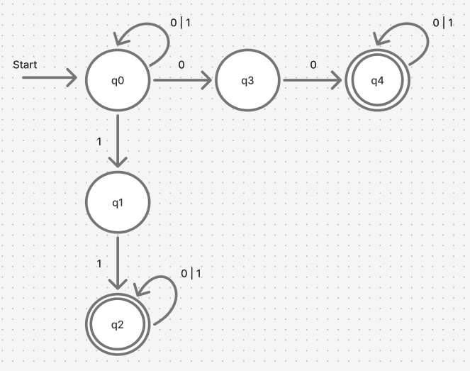
ex. 2개의 연속적인 0이 있거나 2개의 연속적인 1이 있는 문자열

M = ( Q, Σ, δ, q0, F )
Q = {q0, q1, q2, q3, q4} ∅
Σ = {0, 1}
| δ | 0 | 1 |
| q0 | {q0, q3} | {q0, q1} |
| q1 | ∅ | {q2} |
| q2 | {q2} | {q2} |
| q3 | {q4} | ∅ |
| q4 | {q4} | {q4} |
q0 = q0
F = {q2, q4}
// q0, q2, q4의 스스로 전이는 필요 없어 보이는데..? 일단 인식이 안되는 건 아님
NFA로부터 문장 인식하기
다음 유한 오토마타가 문장 baabb를 인식하는가
| M =(Q, Σ, δ, q0, F) 단, Q = {q0, q1, q2, q3} Σ = {a, b} δ: δ(q0, a) = {q0, q1} δ(q0, b) = {q0} δ(q1, a) = {q2} δ(q2, a) = {q3} q0 = q0 F = {q3} |
1. 하나하나 전이함수 적용해서 인식하기
2. 갈 수 있는 상태를 모두 그림으로 표현하여 인식하기
1. 하나하나 전이함수 적용해서 인식하기
δ(q0, b) = {q0}
δ(q0, a) = {q0, q1} - q0 선택
δ(q0, a) = {q0, q1} - q0 선택
δ(q0, b) = {q0}
δ(q0, b) = {q0}
- 다 읽은 후 최종 상태는 q0 .. 하지만 최종 상태는 q3이므로 안됐음
- 하지만 아직 적용하지 않은 상태들이 있음.
δ(q0, b) = {q0}
δ(q0, a) = {q0, q1} - q0 선택
δ(q0, a) = {q0, q1} - q1 선택
δ(q1, b) = {q2}
δ(q2, b) = {q3}
- 이 경우 baabb가 주어진 NFA에 의해 인식됨
2. 갈 수 있는 상태를 모두 그림으로 표현하여 인식하기

입력 문자열 baabb를 모두 읽은 후 도달 가능한 상태 -> {q0, q3}
{q0, q3} ∩ F = {q3}
-> baabb는 주어진 NFA에 의해 인식됨
DFA처럼 확장 가능
δ : Q × Σ -> 2^Q ⇒ Q × Σ* -> 2^Q
단, δ*(q, ε) = {q}
δ*(q, wa) = {r | δ*(q, w)에 의해서 도달할 수 있는 모든 상태 p에 대해서 r ∈ δ(p, a)}
= ⋃_{p ∈ δ*(q, w)} δ(p, a)
δ(q0, baabb)
= δ(q0, aabb)
= δ(q0, abb) ∪ δ(q1, abb)
= {δ(q0, bb) ∪ δ(q1, bb)} ∪ ∅ // 왼쪽은 δ(q0, abb)의 결과, 우측은 δ(q1, abb)인데 전이 없으니 전이 없음
= δ(q0, b) ∪ δ(q2, b)
= {q0} ∪ {q3}
= {q0, q3}
{q0, q3} ∩ F = {q3}
-> baabb는 주어진 NFA에 의해 인식된다
NFA와 DFA
- DFA보다 NFA가 언어의 구조를 쉽게 표현
- NFA는 DFA보다 프로그램으로 구현하기 어려움
- DFA는 NFA보다 프로그램으로 구현했을 경우에 효율면에서 훨씬 우수
- 일반적인 구현은 DFA로 해야 하는데, NFA가 언어의 구조를 쉽게 표현할 수 있기 때문에 서로가 변환이 필요
DFA와 NFA는 서로가 동등 (equivalent)
'학부 > 오토마타와 컴파일러' 카테고리의 다른 글
| DFA의 상태수 최소화 (0) | 2025.10.12 |
|---|---|
| NFA의 DFA 변환 및 ε-전이 (0) | 2025.10.11 |
| 유한 오토마타 - 상태전이도 & 형식적 표현 (0) | 2025.10.10 |
| 문법의 표기법 2 (문법 도표, BNF, EBNF) (0) | 2025.10.10 |
| 문법의 표기법 1 (정규 표현) (0) | 2025.10.09 |