| 일 | 월 | 화 | 수 | 목 | 금 | 토 |
|---|---|---|---|---|---|---|
| 1 | 2 | 3 | ||||
| 4 | 5 | 6 | 7 | 8 | 9 | 10 |
| 11 | 12 | 13 | 14 | 15 | 16 | 17 |
| 18 | 19 | 20 | 21 | 22 | 23 | 24 |
| 25 | 26 | 27 | 28 | 29 | 30 | 31 |
- C++
- attribute
- MAC
- listen server
- Replication
- Unreal Engine
- rpc
- 유니티
- linear regression
- gas
- animation
- Aegis
- unity
- photon fusion2
- 게임개발
- Multiplay
- widget
- 언리얼 엔진
- local prediction
- 보안
- gameplay effect
- CTF
- stride
- gameplay ability system
- 언리얼엔진
- gameplay tag
- 게임 개발
- os
- ability task
- UI
- Today
- Total
Replicated
DFA의 상태수 최소화 본문
DFA의 상태수 최소화(state minimization)
- DFA를 이용하는 어휘분석기의 상태 전이표의 크기를 줄임
- 기억 공간을 적게 차지하도록 하고 어휘분석 프로그램을 간단히 하는데 큰 도움
- 상태수를 최소화하는 방법: 동치관계(equivalance relation)를 이용 상태수에 합침(state merge)
구별 가능(distinguishable)
- 문자열 w ∈ Σ* 에 대해, 만약 q1 상태에서 w를 모두 본 상태가 q3고 q2에서 w를 모두 본 상태가 q4일 때, q3, q4 중 하나만 종결 상태에 속하면 2개의 상태 q1과 q2는 구별 가능하다고 함
구별 불가능(Indistinguishable)
- 문자열 w ∈ Σ* 에 대해, 만약 q1 상태에서 w를 모두 본 상태가 q3고 q2에서 w를 모두 본 상태가 q4일 때, q3, q4가 모두 종결 상태에 속하거나 모두 종결 상태가 아니라면 2개의 상태 q1과 a2는 구별 불가능하다고 함
DFA 상태수 최소화 알고리즘
입력: 하나의 DFA M
출력: M과 동일한 언어를 수용하고 가능한 한 적은 상태수를 갖는 하나의 DFA M'
방법
1. 시작 상태로부터 도달 불가능한 상태를 모두 제거
2. 초기의 동치관계인 최종 상태(final state)와 최종 상태가 아닌 것(non-final state)의 두 동치류(equivalance class)로 분할(partition)
3. 하나의 동치류 안에서 같은 입력 기호에 대해 서로 다른 동치류로 가는 간선이 존재하면 또 다른 분할을 하여 새로운 동치류를 만듦
4. 3.의 과정을 반복하여 더 이상 새로운 분할이 일어나지 않을 때까지 반복
5. M의 최종 상태에 속하는 상태가 동치류 속에 있으면 해당 동치류는 M'의 최종 상태
최소화된 DFA M' = ( Q', Σ', δ', q0', F' ) 는 다음 조건을 만족
(1) Q' : 동치류의 집합으로서 Q'의 한 상태를 [q]로 표시 .. 의미는 상태 q를 포함하는 동치류
(2) [P], [q]를 임의의 동치류라 하고 δ(P, a) = q 이면 δ'([P], a) = [q]
(3) q0' = [q0]
(4) F' = { [q] | q ∈ F }
역시 이 글만 보고 어떻게 동작하는지 알긴 어렵다.
예제를 보자

| δ | a | b |
| A | B | C |
| B | B | D |
| C | B | C |
| D | B | E |
| E | B | C |
이 DFA를 최소화 해보자
1. 도달 불가능 상태 없음
2. 최종 상태, 아닌 상태의 두 동치류 .. {E} {A, B, C, D}
3. 각 동치류가 각 입력 기호에 대해 구별되는가를 조사하여 더 이상 분할이 일어나지 않을 때까지 반복
| 입력 | 동치류 이름 | 1 | 2 | |||
| 동치류 | A | B | C | D | E | |
| a | 1 | 1 | 1 | 1 | 1 | |
| b | 1 | 1 | 1 | 2 | 1 | |
1번 동치류에서 입력 기호 b에 대해 {D}가 구분됨
정확히 뭘 한 거냐면 a, b가 들어왔을 때 가게 되는 동치류가 1번인지 2번인지 구분한 것
D는 b가 들어올 때 다른 곳으로 가서 구별 가능해진 것
| 입력 | 동치류 이름 | 1 | 2 | 3 | ||
| 동치류 | A | B | C | D | E | |
| a | 1 | 1 | 1 | 1 | 1 | |
| b | 1 | 2 | 1 | 3 | 1 | |
이러면 입력기호 b에 대해 {A, C}와 {B}가 구별됨
| 입력 | 동치류 이름 | 1 | 2 | 3 | 4 | |
| 동치류 | A | C | B | D | E | |
| a | 2 | 2 | 2 | 2 | 2 | |
| b | 1 | 1 | 3 | 4 | 1 | |
이제 각 동치류는 더 이상 구분되지 않음
DFA의 최종 상태 E, 그러니까 이거 포함하는 {E} 동치류가 M'의 최종상태
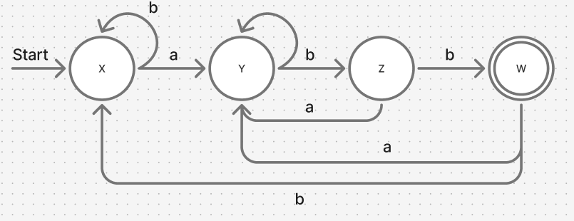
{A, C} 를 X, {B}를 Y, {D}를 Z, {E}를 W라 하면
DFA M' = ( Q', Σ', δ', q0', F' )
Q' = {X, Y, Z, W}
Σ' = {a, b}
| δ | a | b |
| X | Y | X |
| Y | Y | Z |
| Z | Y | W |
| W | Y | X |
q0' = X
F' = {W}
상태수가 5개에서 4개로 줄음

최종적으로 상태전이도는 이렇게 표현됨
'학부 > 오토마타와 컴파일러' 카테고리의 다른 글
| 어휘 분석 (0) | 2025.10.12 |
|---|---|
| 정규 언어, 정규 문법, 유한 오토마타의 동치 관계 (0) | 2025.10.12 |
| NFA의 DFA 변환 및 ε-전이 (0) | 2025.10.11 |
| 결정적 유한 오토마타(DFA), 비결정적 유한 오토마타(NFA) (0) | 2025.10.11 |
| 유한 오토마타 - 상태전이도 & 형식적 표현 (0) | 2025.10.10 |