| 일 | 월 | 화 | 수 | 목 | 금 | 토 |
|---|---|---|---|---|---|---|
| 1 | 2 | 3 | ||||
| 4 | 5 | 6 | 7 | 8 | 9 | 10 |
| 11 | 12 | 13 | 14 | 15 | 16 | 17 |
| 18 | 19 | 20 | 21 | 22 | 23 | 24 |
| 25 | 26 | 27 | 28 | 29 | 30 | 31 |
- UI
- 유니티
- 보안
- Multiplay
- Unreal Engine
- ability task
- 게임 개발
- MAC
- unity
- 언리얼엔진
- attribute
- Aegis
- gameplay tag
- 게임개발
- C++
- animation
- photon fusion2
- Replication
- stride
- widget
- gameplay ability system
- 언리얼 엔진
- local prediction
- rpc
- os
- listen server
- linear regression
- gameplay effect
- gas
- CTF
- Today
- Total
Replicated
선형 회귀, MSE 본문
선형회귀(Linear Regression)
- 종속변수 y와 한 개 이상의 독립 변수 x와의 선형 상관관계를 모델링하는 회귀분석 기법
- 기존 데이터를 활용해 연속형 변수값을 예측
- y = ax + b 꼴의 수식 만들고 a와 b의 값을 찾아냄
어떻게 되어야 기존 데이터를 잘 표현하는가?
- 예측값이 실제값 대비 차이가 많이 나지 않는 그래프
예측 함수와 실제값 간 차이
- 예측 함수는 예측값과 실제값 간의 차이를 최소화하는 방향..
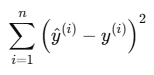
- 데이터 n개 중 i번째 데이터의 y값에 대한 실제값과 예측값의 차이
- 데이터가 5개 있을 때 5개 데이터의 오차의 합
ŷⁱ − yⁱ
(ŷ^(1) − y^(1)) + (ŷ^(2) − y^(2)) + (ŷ^(3) − y^(3)) + (ŷ^(4) − y^(4)) + (ŷ^(5) − y^(5))
그런데 이러면 오차가 음수, 양수로 나와서 서로 상쇄될 수 있음
=> 오차에 제곱하여 합하기

이걸 이제 행렬로 표현하고 계산?

이런식으로 표기 가능하고

오차를 제곱하면 이렇게 표기 가능
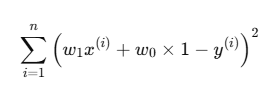
제곱 오차(Square Error) : (ŷ - y)^2로 예측값과 실제값의 제곱을 표시하여 오차를 나타냄

ŷ = ax + b이니.. a = w1, b = w0
저 제곱 오차를 최소화시키는 w0와 w1을 찾아야 함
선형 회귀의 기초 수식
가설 함수(hypothesis function) : 예측값을 예측하는 함수

- 함수 입력값은 x
- 함수에서 결정할 것은 세타 == 가중치 값 Wn
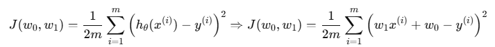
비용 함수(cost function) : 머신러닝에서 최소화해야 할 예측값과 실제값의 차이

- 잔차 제곱합(Error Sum of Squares) : 예측값인 가설함수와 실제값인 y 간 차이를 제곱해서 합함
- == 손실함수
- 평균 제곱 오차(Mean Squared Error, MSE) : 잔차의 제곱합을 2m으로 나눈값
-- 2m인 이유는 미분이 들어가는데 편하게 하려고 2 붙인 거
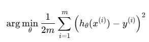
일단 지금 세타를 찾아야 함

arg min 세타는 뒤의 식을 최소화시키는 세타를 찾는다는 것
=> MSE 최소화 시키는 세타를 찾는다!
'학부 > 빅데이터마이닝' 카테고리의 다른 글
| 경사하강법 실습 (0) | 2025.04.08 |
|---|---|
| 경사하강법의 종류 (0) | 2025.04.07 |
| 경사하강법 선형회귀 (0) | 2025.04.07 |
| 최소자승법 선형회귀 - 수식 유도, 장단점 (0) | 2025.04.07 |
| 빅데이터마이닝의 개념 (0) | 2025.03.19 |