| 일 | 월 | 화 | 수 | 목 | 금 | 토 |
|---|---|---|---|---|---|---|
| 1 | 2 | 3 | ||||
| 4 | 5 | 6 | 7 | 8 | 9 | 10 |
| 11 | 12 | 13 | 14 | 15 | 16 | 17 |
| 18 | 19 | 20 | 21 | 22 | 23 | 24 |
| 25 | 26 | 27 | 28 | 29 | 30 | 31 |
Tags
- gameplay tag
- UI
- MAC
- 게임 개발
- 보안
- gameplay ability system
- gas
- photon fusion2
- Unreal Engine
- local prediction
- 유니티
- os
- unity
- gameplay effect
- ability task
- animation
- Aegis
- rpc
- Multiplay
- 게임개발
- CTF
- C++
- 언리얼엔진
- 언리얼 엔진
- stride
- listen server
- widget
- linear regression
- Replication
- attribute
Archives
- Today
- Total
Replicated
경사하강법 선형회귀 본문
경사하강법(Gradient Descent)
- 경사를 하강하며 수식을 최소화하는 매개변수 찾아내기
J(w)라는 비용 함수가 있을 때
- 최솟값을 달성하는 방향으로 점점 내려감
- 몇 번을 적용할 것인가? .. 많이 실행할수록 최솟값에 가까워짐
- 한 번에 얼마나 많이 내려갈 것인가? .. 경사에 비례하여 결정
경사하강법 기본 수식
f(x) = x^2, dy/dx = 2x
미분해서 기울기 반영

xold는 현재 x, xnew는 경사 적용 후 생성된 값
α는 Learning Rate(학습률)
경사만큼의 변화가 계속 x에 적용되어 x의 최솟값을 찾는 것임
- 변하지 않거나, 미미해지는 지점까지 줄이기
경사하강법에서 개발자가 결정해야 하는 것
학습률 α
- 값이 너무 작으면 충분히 많은 반복을 적용해도 원하는 최적값을 찾지 못하는 경우 발생
- 값이 너무 크면 발산해서 최솟값에 수렴하지 않거나 시간이 너무 오래 걸림
얼마나 많은 반복(Interation)으로 돌릴 것인가?
- 반복 횟수가 충분하지 않으면 최솟값을 못찾음
- 너무 많으면 필요없는 시간, 비용 낭비
경사하강법으로 선형 회귀 찾기

MSE, 비용 함수임
이게 최소가 되는 w0, w1을 찾아야 함
w0, w1의 업데이트
- 먼저 임의의 w0, w1 지정
- 비용함수 J가 최소화될 때 까지 반복, w0와 w1 학습
- 비용함수가 더 이상 줄어들지 않거나 정해진 반복이 종료 시 학습 끝남

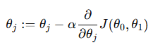
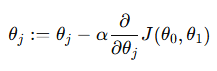
매개변수 업데이트식
'학부 > 빅데이터마이닝' 카테고리의 다른 글
| 경사하강법 실습 (0) | 2025.04.08 |
|---|---|
| 경사하강법의 종류 (0) | 2025.04.07 |
| 최소자승법 선형회귀 - 수식 유도, 장단점 (0) | 2025.04.07 |
| 선형 회귀, MSE (0) | 2025.04.07 |
| 빅데이터마이닝의 개념 (0) | 2025.03.19 |