| 일 | 월 | 화 | 수 | 목 | 금 | 토 |
|---|---|---|---|---|---|---|
| 1 | 2 | 3 | ||||
| 4 | 5 | 6 | 7 | 8 | 9 | 10 |
| 11 | 12 | 13 | 14 | 15 | 16 | 17 |
| 18 | 19 | 20 | 21 | 22 | 23 | 24 |
| 25 | 26 | 27 | 28 | 29 | 30 | 31 |
- 게임개발
- unity
- 언리얼 엔진
- widget
- Unreal Engine
- rpc
- local prediction
- 언리얼엔진
- 유니티
- linear regression
- 게임 개발
- os
- gameplay tag
- Multiplay
- Replication
- attribute
- photon fusion2
- animation
- UI
- 보안
- stride
- C++
- gameplay effect
- gameplay ability system
- listen server
- ability task
- MAC
- Aegis
- gas
- CTF
- Today
- Total
Replicated
Discrete Signal & Operation 본문

a) Continuous time - Continuous amplititude : Analog Signal
b) Continuous time - Descrete amplitude
c) Discrete time - Continuous amplitude : Discrete Signal
d) Discrete time - DIscrete amplitude : Digital Signal
(a) -> (b) -> (c) 순서로 변환됨
Discrete Signal 예시
x[n] = {1, 2, 4, 8}
Bold 처리된 게 0번째 값

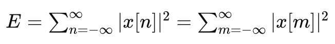
시그널의 에너지 계산은 위 공식대로
시그널은 두가지 타입으로 나뉨
- Energy Signal - Has finite energy .. ex) non-periodic signal
- Power Signal - Has infinite energy .. ex) periodic signal
파워 시그널은 계산이 불가능함 => Average power

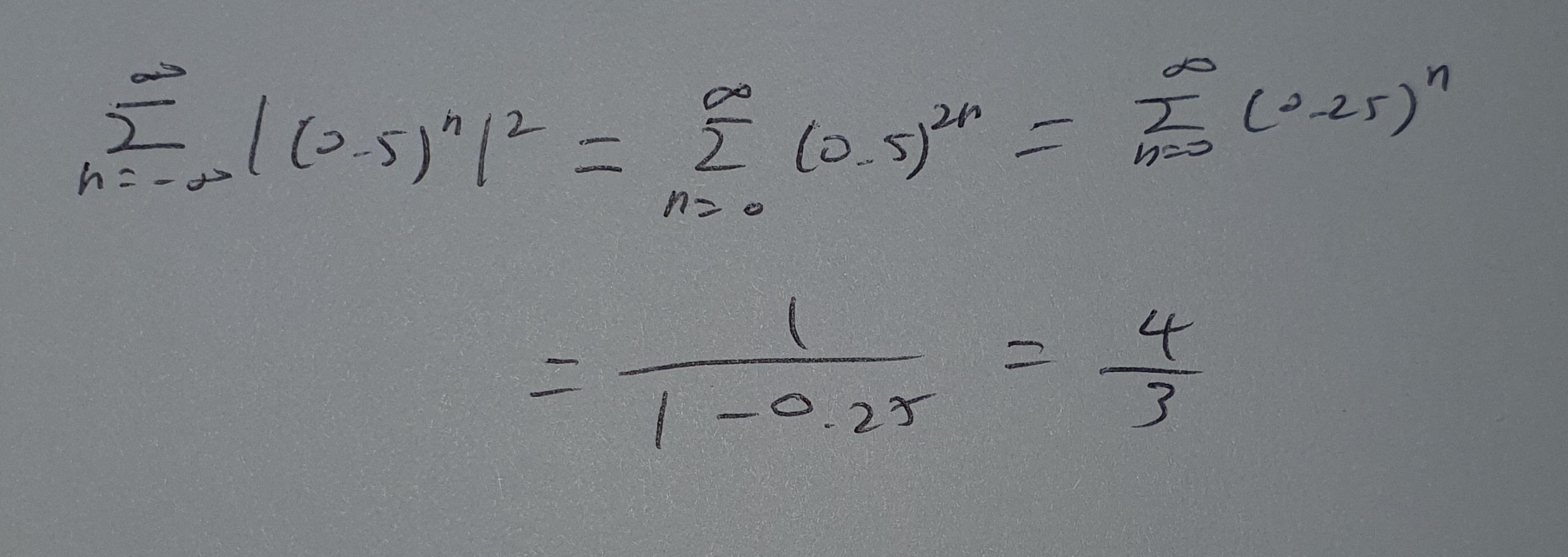
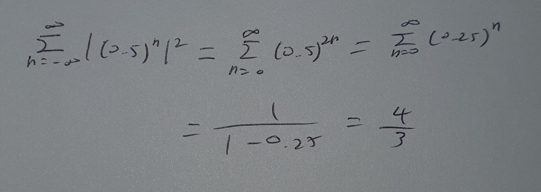
예시)
1.
x[n] = (0.5)^n, n >= 0

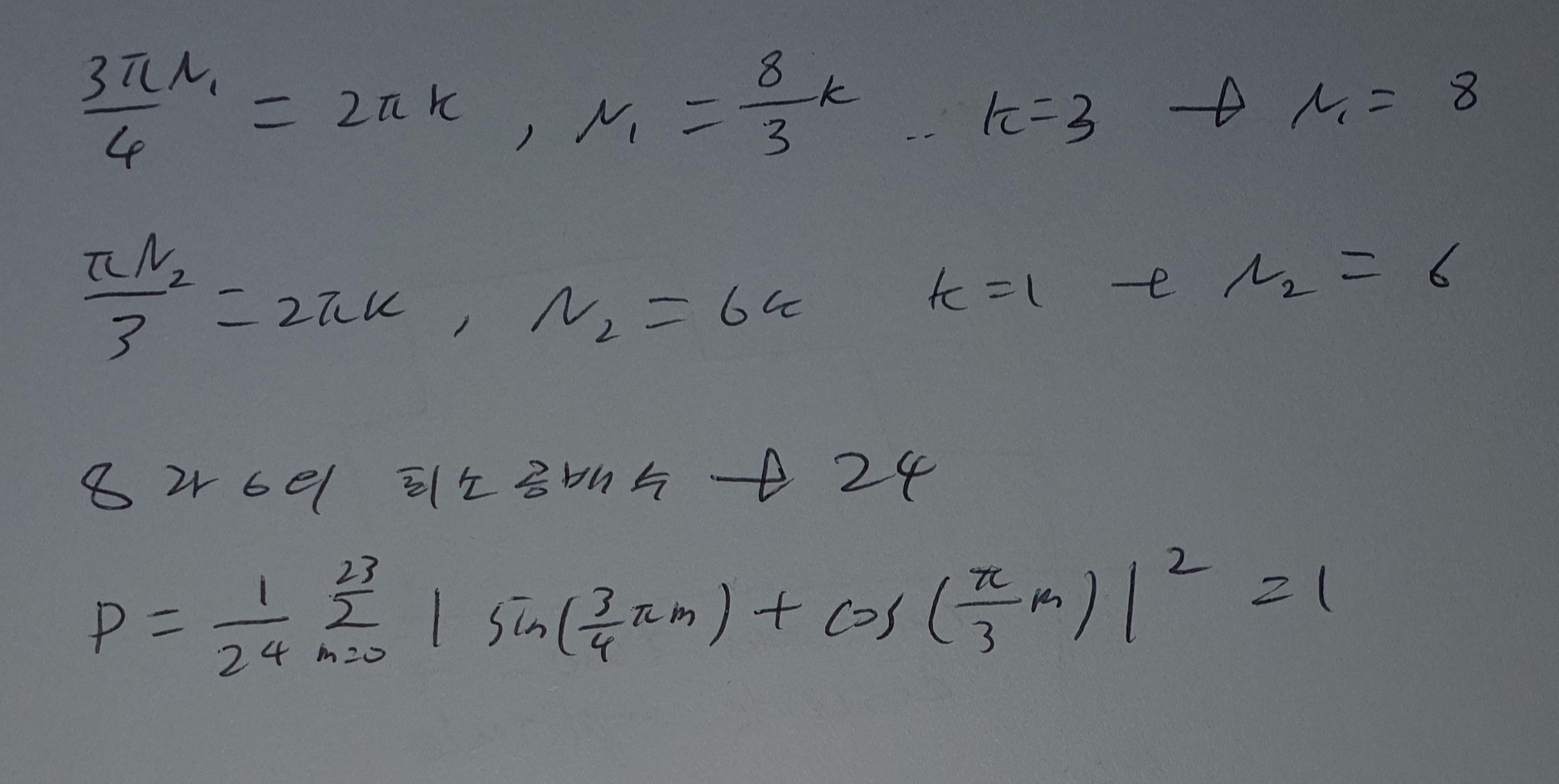
2.
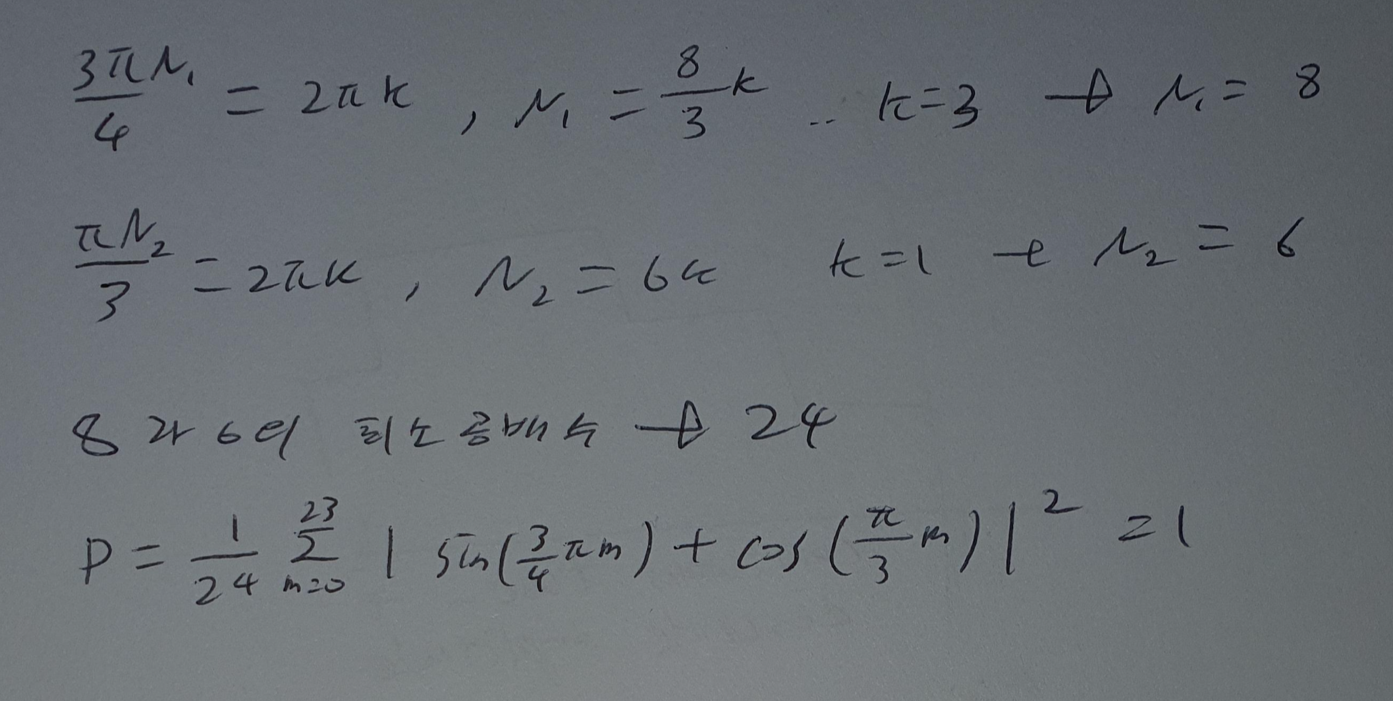
x[n] = sin(3πn/4)+cos(πn/3)

Basic Discrete Signal Operations
- Time - dalay (Shift) ... x[n - 2] => 오른쪽으로 2만큼
- Time - reversal ... x[-n] => Mirror Image
Time-delayed time-reversal
y[n] = x[-n-a]
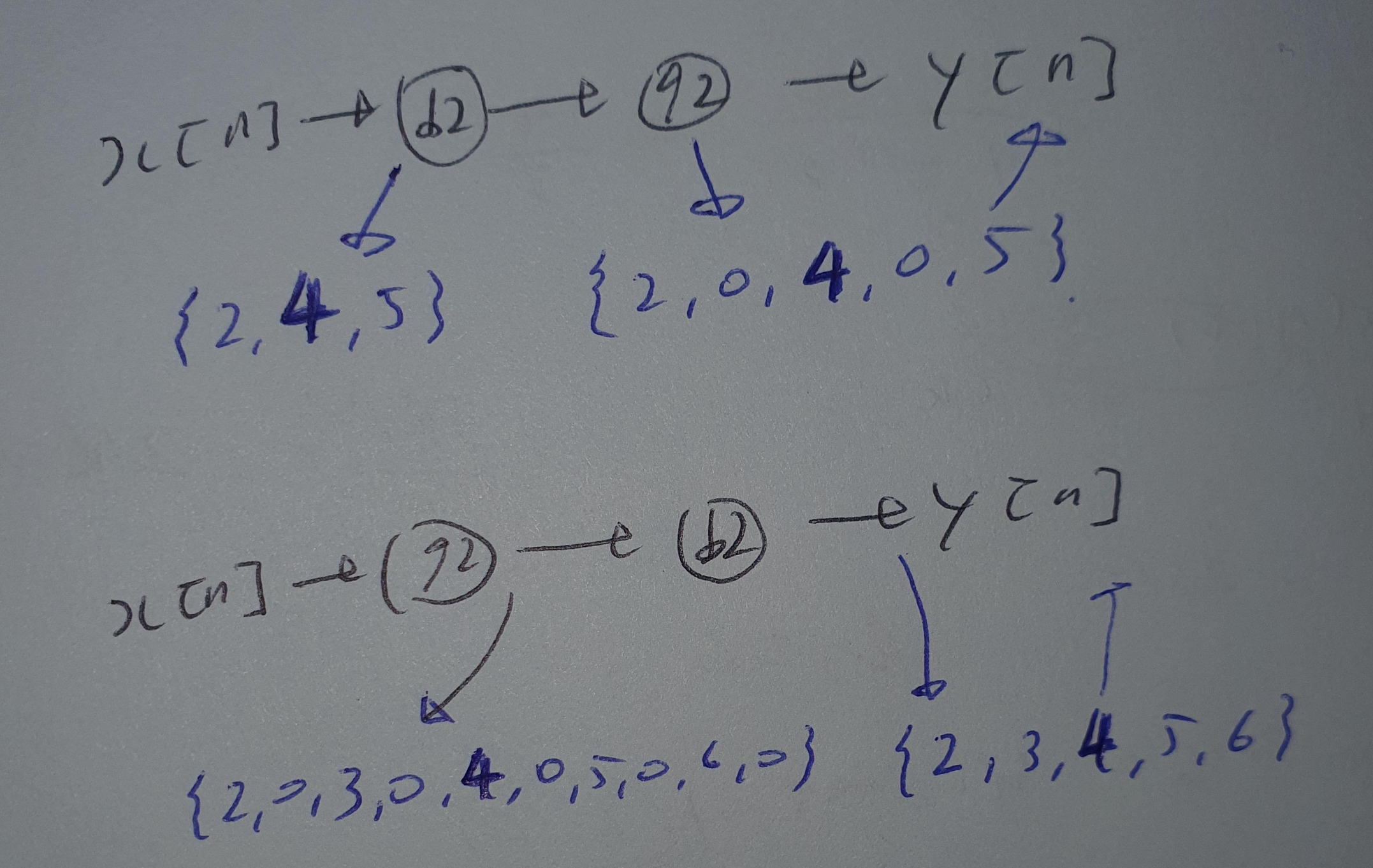
Time-scaling
Compress (= down scaling)
yd[n] = x[an] .. (a > 1)
Expand (= upsampling, interpolation)
yu[n] = x[an] .. (a < 1)

컴프레스는 샘플링 레이트가 줄고 파일 사이즈가 줄음
익스펜드는 샘플링 레이트가 늘고 파일 사이즈는 늘었는데 음질이 좋아졌는가? x ..

LPF 같이 붙여서 쓰면 좌우 값의 평균으로 계산되어 채워짐 .. 보간(interpolation)

다운스케일링 이후 업스케일링 해도 원래값은 돌아오지 않음
'학부 > 멀티미디어신호처리' 카테고리의 다른 글
| Nyquist-Shannon sampling theory, SNR (0) | 2024.11.30 |
|---|---|
| Standard Discrete Signal (0) | 2024.11.30 |
| DSP Hardware (0) | 2024.10.17 |
| Digital Filter (0) | 2024.10.17 |
| Fourier Transform / DTFT, FFT 등.. (0) | 2024.10.17 |